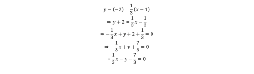
A continuación se determinarán las rectas tangente y normal a las curvas señaladas en el punto dado.
Descargar documento: Ejercicios Recta Tangente y Normal a una curva en un punto dado



A continuación se determinarán las rectas tangente y normal a las curvas señaladas en el punto dado.
Descargar documento: Ejercicios Recta Tangente y Normal a una curva en un punto dado


